Lenguaje de Programación
El alumno desarrollará programas en un lenguaje de computadora, con diferentes interfaces puerto serie, paralelo ó USB para controlar y monitorear sistemas automáticos.
Bjornander, Stefan (2016) C ++ Windows Programming Birmingham United Kingdom Packt Publishing ISBN: 1786464225
Stroustrup, Bjarne (2013) The C++ Programming Language Whasington, D.C. USA Addison-Wesley Professional ISBN: 0321563840
Méndez Girón, Alejandra (2013) Diseño de algoritmos y su programación en c D.F. México. Alfaomega. ISBN: 978-607-7076-018
Joyanes Aguilar, Luis. (2012) Fundamentos Generales de Programación D.F. México McGrawHill. ISBN: 9786071508188
Corona Nakamura, María. Ancona Valdez, María (2011) Diseño de Algoritmos y su Codificación en C. Guadalajara. México. McGrawHill. ISBN: 9786071505712
Ceballos Sierra, Francisco Javier (2009) Enciclopedia del lenguaje C++ 2ª. Edición. D.F. México Alfaomega. ISBN: 8478979158
Carelia Guadalupe Gaxiola Pachecho (2008) Metodología de la programación pseudocódigo enfocado al leguaje C. 1ª. Edición. D.F. México Plaza y Valdés. ISBN: 9789707227750
Da clic sobre la imagen para acceder al compilador online. Después, deberás crear una cuenta con tu correo institucional @uttcampus.edu.mx o @utt.edu.mx. Deberás seleccionar lenguaje C como uno de los tres para aprender:
Cacoo.com - Herramienta online para elaborar los algoritmos: pseudocódigo y diagrama de flujoDa clic sobre la imagen para acceder a la herramienta online cacoo.com, en la cual, deberás crear una cuenta para elaborar los algoritmos que se vayan solicitando.
PSeInt - Herramienta para ejecutar paso a paso los algoritmosDa clic sobre la imagen para acceder a la herramienta PSeInt, para elaborar el pseudocódigo y que te genere el diagrama de flujo y en automático, probar paso a paso las prácticas:
PSeInt - Herramienta para ejecutar paso a paso los algoritmosDa clic sobre este enlace para descargarlo directamente:
Indicaciones: Da clic sobre la imagen para descargar el formato en Word de la actividad, después, respóndela y súbela en formato PDF en el Moodle.
Secuencias de escape para representar carácteres especiales:
Indicaciones: Da clic sobre la imagen para descargar el formato en Word de la actividad, después, respóndela y súbela en formato PDF en el Moodle.
Evaluar expresiones:Da clic sobre la imagen para descargar la presentación:
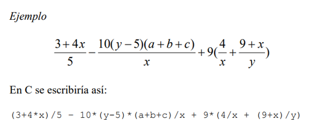
Orden de evaluación de los operadores:
Indicaciones: Da clic sobre la imagen para descargar el formato en Word de la actividad, después, respóndela y súbela en formato PDF en el Moodle.
Indicaciones: Da clic sobre la imagen y descarga el bloque 1 de ejercicios, elabora los algoritmos: pseudocódigo y diagrama de flujo utilizando la herramienta cacoo.com y prúebalos en PSeInt. Al final elabora un reporte de la práctica en PDF en donde incluyas:
Indicaciones: elabora los algoritmos de los siguientes problemas: pseudocódigo y diagrama de flujo utilizando la herramienta cacoo.com y prúebalos en PSeInt. Al final elabora un reporte de la práctica en PDF en donde incluyas:
Problemas:
Indicaciones: elabora los algoritmos de los siguientes problemas: pseudocódigo y diagrama de flujo utilizando la herramienta cacoo.com y su respectivo código y programa en ejecución en lenguaje C. Al final elabora un reporte de la práctica en PDF en donde incluyas:
Problemas:
Indicaciones: elabora los algoritmos de los siguientes problemas: pseudocódigo y diagrama de flujo utilizando la herramienta cacoo.com y su respectivo código y programa en ejecución en lenguaje C. Al final elabora un reporte de la práctica en PDF en donde incluyas:
Problemas:
Indicaciones:
Elabora un programa en C en donde el usuario puede seleccionar uno de los siguientes ejercicios:Al final elabora un reporte de la práctica en PDF en donde incluyas:
Da clic sobre la imagen para descargar la versión portable del DEV C++:
Atom EditorDa clic sobre la imagen para descargar el editor de texto Atom:
Programar con Lenguaje C en AtomDa clic sobre la imagen para conocer el tutorial de cómo hacer para poder compilar y correr un archivo .c en Atom:
Da clic sobre la imagen para conocer acerca de los arreglos:
Explicación de arreglos en Lenguaje CDa clic sobre la imagen para conocer acerca de los arreglos:
Actividad BLOQUE5 - Arreglos
Indicaciones: Elabora los siguientes programas en donde incluyas su respectivo código y programa en ejecución en lenguaje C. Al final elabora un reporte de la práctica en PDF en donde incluyas:
Problemas:
Da clic sobre la imagen para conocer sobre cómo utilizar las funciones en programación:
Actividad BLOQUE6 - Funciones
Indicaciones: Elabora los siguientes programas en donde incluyas su respectivo código y programa en ejecución en lenguaje C. Al final elabora un reporte de la práctica en PDF en donde incluyas:
Problemas:
Indicaciones: Elabora los siguientes programas en donde incluyas su respectivo código y programa en ejecución en lenguaje C. Al final elabora un reporte de la práctica en PDF en donde incluyas:
Indicaciones: Utilizando el siguiente formato (da clic sobre la imagen de la evaluación para descargarlo), elabora las prácticas relacionadas con Internet of Things y Lenguaje C, en las cuales, a través de Arduino, se crean proyectos relacionados con la automatización y recolección de datos. Para ello, es necesario ver los videotutoriales e irlos desarrollando en tu PC. En los reportes se te pide que describas por lo menos diez pasos y agregues su captura de pantalla correspondiente, y al final, tu conclusión personal de lo aprendido. IMPORTANTE: NO SE VA A PERMITIR CAPTURAS DEL MISMO VIDEOTUTORIAL, AL DETECTARSE QUE EN TUS REPORTES COPIASTE LAS CAPTURAS DE TUS COMPAÑEROS O DE LOS VIDEOTUTORIALES, SERÁ CALIFICACIÓN REPROBATORIA Y AFECTARÁS A TU COMPAÑERO EN EL CASO DE QUE HAYA PLAGIO. Al finalizar las prácticas, deberás convertir los reportes en PDF y subirlos al Moodle en el enlace correspondiente, en un archivo comprimido .ZIP o .RAR con el siguiente formato: Ej.: si mi nombre es Aarón Salazar, entonces el archivo comprimido deberá llamarse Salazar_Aaron_U4.zip. Cada una de las prácticas tendrá la siguiente ponderación de la calficación de la unidad 4: